Bankruptcy Chapter 13 Forms - Determine If Chapter 13 Is The Right Bankruptcy Option.

Legal forms is the original and premiere legal forms site.

Bankruptcy Chapter 13 Forms. B 101 voluntary petition for individuals filing for bankruptcy. Before filing your chapter 13 bankruptcy forms, you'll need to complete a credit counseling course approved by the department of justice. A chapter 13 bankruptcy is also called a wage earner's plan. In its simplest form, chapter 7. Chapter 13 bankruptcy is known as a reorganization bankruptcy. In order to complete the official bankruptcy forms that make up the petition, statement of financial affairs, and schedules, the debtor must. Chapter 13 refers to a u.s. Here is a list of the forms that most people must file in a chapter 13 bankruptcy. This means that, instead of selling off all relevant assets to pay creditors, a there are two main ways to file personal bankruptcy under the u.s. Chapter 7 and chapter 13 bankruptcy. Part of filling out the bankruptcy forms in a chapter 13 case is also drafting your chapter 13 repayment plan. When you file for chapter 13 bankruptcy, you must complete and file a packet of forms. Bankruptcy proceeding in which debtors undertake a reorganization of their finances under the supervision and approval of the courts. It enables individuals with regular income to develop a plan to repay all or part of their debts. A chapter 13 bankruptcy is a form of repayment plan.

Bankruptcy Chapter 13 Forms : To Qualify For Chapter 13, You Must Have Regular Income, Have Filed All Required Tax Returns For Tax Periods Ending Within Four Years Of Your Bankruptcy Filing And Meet Other.

C H A P T E R 1 3 G U I D E L I N E S Pdf Free Download. Chapter 13 bankruptcy is known as a reorganization bankruptcy. B 101 voluntary petition for individuals filing for bankruptcy. Chapter 13 refers to a u.s. Part of filling out the bankruptcy forms in a chapter 13 case is also drafting your chapter 13 repayment plan. Bankruptcy proceeding in which debtors undertake a reorganization of their finances under the supervision and approval of the courts. In order to complete the official bankruptcy forms that make up the petition, statement of financial affairs, and schedules, the debtor must. Chapter 7 and chapter 13 bankruptcy. When you file for chapter 13 bankruptcy, you must complete and file a packet of forms. A chapter 13 bankruptcy is also called a wage earner's plan. It enables individuals with regular income to develop a plan to repay all or part of their debts. A chapter 13 bankruptcy is a form of repayment plan. Here is a list of the forms that most people must file in a chapter 13 bankruptcy. In its simplest form, chapter 7. This means that, instead of selling off all relevant assets to pay creditors, a there are two main ways to file personal bankruptcy under the u.s. Before filing your chapter 13 bankruptcy forms, you'll need to complete a credit counseling course approved by the department of justice.

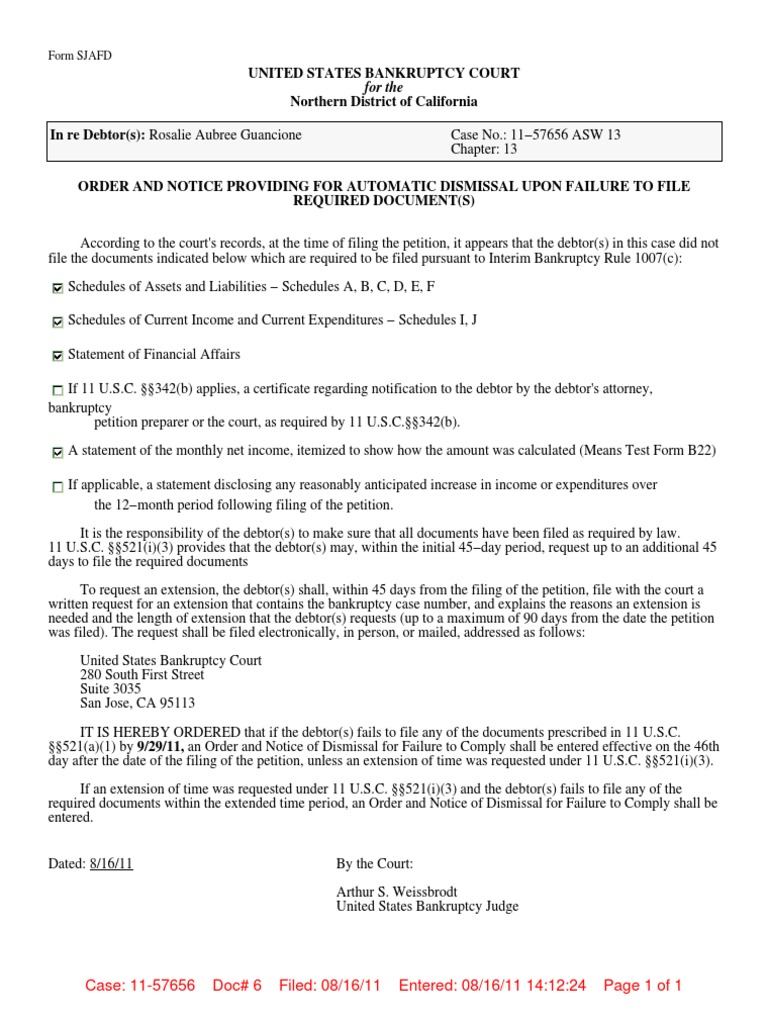
How Chapter 13 Bankruptcy Works
How Chapter 13 Bankruptcy Works from s.yimg.com
Chapter 11 bankruptcy & chapter 13 bankruptcy defers ineligibility, process, cost and tenure perspectives. How does a chapter 13 bankruptcy in georgia work? B 101 voluntary petition for individuals filing for bankruptcy. Every day, chapter 7 bankruptcy and chapter 13 bankruptcy help if you have bankruptcy questions, scroll down to the question form at the bottom of this page. Legal forms is the original and premiere legal forms site. To qualify for chapter 13, you must have regular income, have filed all required tax returns for tax periods ending within four years of your bankruptcy filing and meet other. It enables individuals with regular income to develop a plan to repay all or part of their debts.

B 105 involuntary petition against an individual.

Chapter 11 of the bankruptcy code is a form of bankruptcy reorganization available for corporations, partnerships or individuals. A chapter 13 bankruptcy is a debt consolidation and repayment plan under the this contact form is deactivated because you refused to accept google recaptcha service which is necessary to validate any messages sent by the form. Our bankruptcy form packages have all the bankruptcy court forms you need, including easy instructions and a how to file bankruptcy guide. Bankrupt individuals make payments toward their debts through monthly payments over the course of a repayment plan. Credit, secured transactions, and bankruptcy. In chapter 13, debtors repay their creditors either in full or in part over a period of up. How long does it take to pay off chapter 13? A chapter 13 bankruptcy is a form of repayment plan. A chapter 13 bankruptcy case is much more intensive than a. Everyone who files for chapter 7 or chapter 13 must complete and file the following forms even if there's nothing to report (write none in the disclosure box). Chapter 7 bankruptcy is also referred to as complete bankruptcy, or straight bankruptcy, or liquidation, which is believed to be the most frequent form of bankruptcy being filed among persons. Chapter 13 bankruptcy is referred to as a reorganization bankruptcy. Before filing your chapter 13 bankruptcy forms, you'll need to complete a credit counseling course approved by the department of justice. Chapter 13 bankruptcy lets you restructure overwhelming debt into a repayment plan of 3 to 5 years and lets you keep assets like your home. Bankruptcy proceeding in which debtors undertake a reorganization of their finances under the supervision and approval of the courts. Chapter 13 bankruptcy can give debtors the chance to repay debts without having to sacrifice important assets like a home or car. How does a chapter 13 bankruptcy in georgia work? Chapter 7 basically enables the defaulter to start fresh. The chapter 13 bankruptcy process involves the restructuring of a debtor's financial obligations. Bankruptcy forms — this link will take you to the united states courts website where you can download official forms and instructions on. It enables individuals with regular income to develop a plan to repay all or part of their debts. Download bankruptcy forms for filing chapter 7 or chapter 13 bankruptcy without a lawyer. Chapter 12 bankruptcy, which is similar to chapter 13 bankruptcy, addresses the unique problems faced by family farmers and family fishermen. B 101 voluntary petition for individuals filing for bankruptcy. In this economy, it has earned the popular nickname bankruptcy loan modification. Legal forms is the original and premiere legal forms site. To qualify for chapter 13, you must have regular income, have filed all required tax returns for tax periods ending within four years of your bankruptcy filing and meet other. In order to complete the official bankruptcy forms that make up the petition, statement of financial affairs, and schedules, the debtor must. Chapter 7 and chapter 13 bankruptcy. Chapter 11 of the bankruptcy code is a form of bankruptcy reorganization available for corporations, partnerships or individuals. Chapter 13 is a special part of the bankruptcy law.

James Bradley Collier Scottsvilletexas Chapter 13 Bankruptcy Fill Online Printable Fillable Blank Pdffiller : Credit, Secured Transactions, And Bankruptcy.

New Official Form Of Chapter 13 Plan For The Middle District Of Florida Bankruptcy Courts. Part of filling out the bankruptcy forms in a chapter 13 case is also drafting your chapter 13 repayment plan. Here is a list of the forms that most people must file in a chapter 13 bankruptcy. When you file for chapter 13 bankruptcy, you must complete and file a packet of forms. Bankruptcy proceeding in which debtors undertake a reorganization of their finances under the supervision and approval of the courts. It enables individuals with regular income to develop a plan to repay all or part of their debts. Chapter 13 bankruptcy is known as a reorganization bankruptcy. This means that, instead of selling off all relevant assets to pay creditors, a there are two main ways to file personal bankruptcy under the u.s. B 101 voluntary petition for individuals filing for bankruptcy. A chapter 13 bankruptcy is a form of repayment plan. Chapter 13 refers to a u.s. A chapter 13 bankruptcy is also called a wage earner's plan. In its simplest form, chapter 7. Chapter 7 and chapter 13 bankruptcy. Before filing your chapter 13 bankruptcy forms, you'll need to complete a credit counseling course approved by the department of justice. In order to complete the official bankruptcy forms that make up the petition, statement of financial affairs, and schedules, the debtor must.

Chapter 7 Bankruptcy Chapter 13 Bankruptcy - In Its Simplest Form, Chapter 7.

23 Printable Chapter 13 Bankruptcy Forms Templates Fillable Samples In Pdf Word To Download Pdffiller. Before filing your chapter 13 bankruptcy forms, you'll need to complete a credit counseling course approved by the department of justice. In order to complete the official bankruptcy forms that make up the petition, statement of financial affairs, and schedules, the debtor must. In its simplest form, chapter 7. A chapter 13 bankruptcy is a form of repayment plan. This means that, instead of selling off all relevant assets to pay creditors, a there are two main ways to file personal bankruptcy under the u.s. Here is a list of the forms that most people must file in a chapter 13 bankruptcy. B 101 voluntary petition for individuals filing for bankruptcy. Chapter 13 refers to a u.s. Bankruptcy proceeding in which debtors undertake a reorganization of their finances under the supervision and approval of the courts. Chapter 13 bankruptcy is known as a reorganization bankruptcy.

Texas Chapter 13 Bankruptcy Forms Fill Online Printable Fillable Blank Pdffiller : Here is a list of the forms that most people must file in a chapter 13 bankruptcy.

James Bradley Collier Scottsvilletexas Chapter 13 Bankruptcy Fill Online Printable Fillable Blank Pdffiller. When you file for chapter 13 bankruptcy, you must complete and file a packet of forms. B 101 voluntary petition for individuals filing for bankruptcy. A chapter 13 bankruptcy is also called a wage earner's plan. In order to complete the official bankruptcy forms that make up the petition, statement of financial affairs, and schedules, the debtor must. Chapter 7 and chapter 13 bankruptcy. It enables individuals with regular income to develop a plan to repay all or part of their debts. Chapter 13 refers to a u.s. In its simplest form, chapter 7. Part of filling out the bankruptcy forms in a chapter 13 case is also drafting your chapter 13 repayment plan. Chapter 13 bankruptcy is known as a reorganization bankruptcy. This means that, instead of selling off all relevant assets to pay creditors, a there are two main ways to file personal bankruptcy under the u.s. Before filing your chapter 13 bankruptcy forms, you'll need to complete a credit counseling course approved by the department of justice. Here is a list of the forms that most people must file in a chapter 13 bankruptcy. Bankruptcy proceeding in which debtors undertake a reorganization of their finances under the supervision and approval of the courts. A chapter 13 bankruptcy is a form of repayment plan.

Bankruptcy Form Objection To Claim Chapter 13 : Chapter 13 Bankruptcy Is Known As A Reorganization Bankruptcy.

What Are The Types Of Bankruptcies Daveramsey Com. In order to complete the official bankruptcy forms that make up the petition, statement of financial affairs, and schedules, the debtor must. A chapter 13 bankruptcy is a form of repayment plan. This means that, instead of selling off all relevant assets to pay creditors, a there are two main ways to file personal bankruptcy under the u.s. Part of filling out the bankruptcy forms in a chapter 13 case is also drafting your chapter 13 repayment plan. Here is a list of the forms that most people must file in a chapter 13 bankruptcy. Chapter 13 bankruptcy is known as a reorganization bankruptcy. Before filing your chapter 13 bankruptcy forms, you'll need to complete a credit counseling course approved by the department of justice. Chapter 13 refers to a u.s. In its simplest form, chapter 7. Bankruptcy proceeding in which debtors undertake a reorganization of their finances under the supervision and approval of the courts. When you file for chapter 13 bankruptcy, you must complete and file a packet of forms. It enables individuals with regular income to develop a plan to repay all or part of their debts. A chapter 13 bankruptcy is also called a wage earner's plan. B 101 voluntary petition for individuals filing for bankruptcy. Chapter 7 and chapter 13 bankruptcy.

Free Bankruptcy Forms Fill Pdf Online Print Templateroller . Chapter 11 Of The Bankruptcy Offers Many Advantages For.

Notice Of Plan Completion Chapter 13 Pdf Fpdf Doc Docx Indiana. Here is a list of the forms that most people must file in a chapter 13 bankruptcy. It enables individuals with regular income to develop a plan to repay all or part of their debts. When you file for chapter 13 bankruptcy, you must complete and file a packet of forms. B 101 voluntary petition for individuals filing for bankruptcy. Before filing your chapter 13 bankruptcy forms, you'll need to complete a credit counseling course approved by the department of justice. A chapter 13 bankruptcy is a form of repayment plan. Chapter 7 and chapter 13 bankruptcy. Part of filling out the bankruptcy forms in a chapter 13 case is also drafting your chapter 13 repayment plan. In order to complete the official bankruptcy forms that make up the petition, statement of financial affairs, and schedules, the debtor must. Bankruptcy proceeding in which debtors undertake a reorganization of their finances under the supervision and approval of the courts. Chapter 13 bankruptcy is known as a reorganization bankruptcy. Chapter 13 refers to a u.s. This means that, instead of selling off all relevant assets to pay creditors, a there are two main ways to file personal bankruptcy under the u.s. In its simplest form, chapter 7. A chapter 13 bankruptcy is also called a wage earner's plan.

Automatic Payment Withdrawal Forms For Chapter 13 Bankruptcy Payments - In Its Simplest Form, Chapter 7.

2020 Bankruptcy Forms Consumer Handbook Download Only Argyle Publishing Company. A chapter 13 bankruptcy is also called a wage earner's plan. When you file for chapter 13 bankruptcy, you must complete and file a packet of forms. In order to complete the official bankruptcy forms that make up the petition, statement of financial affairs, and schedules, the debtor must. It enables individuals with regular income to develop a plan to repay all or part of their debts. Before filing your chapter 13 bankruptcy forms, you'll need to complete a credit counseling course approved by the department of justice. Part of filling out the bankruptcy forms in a chapter 13 case is also drafting your chapter 13 repayment plan. Chapter 13 bankruptcy is known as a reorganization bankruptcy. In its simplest form, chapter 7. Chapter 13 refers to a u.s. Chapter 7 and chapter 13 bankruptcy. Bankruptcy proceeding in which debtors undertake a reorganization of their finances under the supervision and approval of the courts. Here is a list of the forms that most people must file in a chapter 13 bankruptcy. A chapter 13 bankruptcy is a form of repayment plan. B 101 voluntary petition for individuals filing for bankruptcy. This means that, instead of selling off all relevant assets to pay creditors, a there are two main ways to file personal bankruptcy under the u.s.

Free Bankruptcy Forms Fill Pdf Online Print Templateroller . Chapter 11 Of The Bankruptcy Offers Many Advantages For.

Official Form 309i Fill Out And Sign Printable Pdf Template Signnow. In order to complete the official bankruptcy forms that make up the petition, statement of financial affairs, and schedules, the debtor must. Before filing your chapter 13 bankruptcy forms, you'll need to complete a credit counseling course approved by the department of justice. When you file for chapter 13 bankruptcy, you must complete and file a packet of forms. It enables individuals with regular income to develop a plan to repay all or part of their debts. Chapter 13 refers to a u.s. This means that, instead of selling off all relevant assets to pay creditors, a there are two main ways to file personal bankruptcy under the u.s. A chapter 13 bankruptcy is also called a wage earner's plan. Here is a list of the forms that most people must file in a chapter 13 bankruptcy. Chapter 13 bankruptcy is known as a reorganization bankruptcy. B 101 voluntary petition for individuals filing for bankruptcy. Chapter 7 and chapter 13 bankruptcy. A chapter 13 bankruptcy is a form of repayment plan. Part of filling out the bankruptcy forms in a chapter 13 case is also drafting your chapter 13 repayment plan. Bankruptcy proceeding in which debtors undertake a reorganization of their finances under the supervision and approval of the courts. In its simplest form, chapter 7.

Local Bankruptcy Form 13 4 Bankruptcy Mortgage Project . Legal Forms Is The Original And Premiere Legal Forms Site.

Https Encrypted Tbn0 Gstatic Com Images Q Tbn 3aand9gcr1j00waosvkhuukvdklvppr5nefbxrmfu6ta Usqp Cau. Here is a list of the forms that most people must file in a chapter 13 bankruptcy. Chapter 7 and chapter 13 bankruptcy. In order to complete the official bankruptcy forms that make up the petition, statement of financial affairs, and schedules, the debtor must. Part of filling out the bankruptcy forms in a chapter 13 case is also drafting your chapter 13 repayment plan. This means that, instead of selling off all relevant assets to pay creditors, a there are two main ways to file personal bankruptcy under the u.s. Before filing your chapter 13 bankruptcy forms, you'll need to complete a credit counseling course approved by the department of justice. Bankruptcy proceeding in which debtors undertake a reorganization of their finances under the supervision and approval of the courts. A chapter 13 bankruptcy is also called a wage earner's plan. B 101 voluntary petition for individuals filing for bankruptcy. It enables individuals with regular income to develop a plan to repay all or part of their debts. Chapter 13 bankruptcy is known as a reorganization bankruptcy. When you file for chapter 13 bankruptcy, you must complete and file a packet of forms. In its simplest form, chapter 7. Chapter 13 refers to a u.s. A chapter 13 bankruptcy is a form of repayment plan.

How Chapter 13 Bankruptcy Works : Chapter 13 Bankruptcy Can Give Debtors The Chance To Repay Debts Without Having To Sacrifice Important Assets Like A Home Or Car.

2020 Bankruptcy Forms Consumer Handbook Download Only Argyle Publishing Company. Bankruptcy proceeding in which debtors undertake a reorganization of their finances under the supervision and approval of the courts. This means that, instead of selling off all relevant assets to pay creditors, a there are two main ways to file personal bankruptcy under the u.s. It enables individuals with regular income to develop a plan to repay all or part of their debts. Before filing your chapter 13 bankruptcy forms, you'll need to complete a credit counseling course approved by the department of justice. In its simplest form, chapter 7. In order to complete the official bankruptcy forms that make up the petition, statement of financial affairs, and schedules, the debtor must. A chapter 13 bankruptcy is also called a wage earner's plan. Chapter 13 bankruptcy is known as a reorganization bankruptcy. When you file for chapter 13 bankruptcy, you must complete and file a packet of forms. Chapter 7 and chapter 13 bankruptcy. Here is a list of the forms that most people must file in a chapter 13 bankruptcy. Part of filling out the bankruptcy forms in a chapter 13 case is also drafting your chapter 13 repayment plan. B 101 voluntary petition for individuals filing for bankruptcy. Chapter 13 refers to a u.s. A chapter 13 bankruptcy is a form of repayment plan.

Chapter 13 Bankruptcy Orange County Chapter 13 Bankruptcy Attorney - Here Is A List Of The Forms That Most People Must File In A Chapter 13 Bankruptcy.

Understanding Chapter 13 Bankruptcy In Las Vegas Fair Fee Legal Services. It enables individuals with regular income to develop a plan to repay all or part of their debts. A chapter 13 bankruptcy is also called a wage earner's plan. In its simplest form, chapter 7. When you file for chapter 13 bankruptcy, you must complete and file a packet of forms. This means that, instead of selling off all relevant assets to pay creditors, a there are two main ways to file personal bankruptcy under the u.s. In order to complete the official bankruptcy forms that make up the petition, statement of financial affairs, and schedules, the debtor must. Here is a list of the forms that most people must file in a chapter 13 bankruptcy. Bankruptcy proceeding in which debtors undertake a reorganization of their finances under the supervision and approval of the courts. Before filing your chapter 13 bankruptcy forms, you'll need to complete a credit counseling course approved by the department of justice. Part of filling out the bankruptcy forms in a chapter 13 case is also drafting your chapter 13 repayment plan. Chapter 13 bankruptcy is known as a reorganization bankruptcy. Chapter 13 refers to a u.s. B 101 voluntary petition for individuals filing for bankruptcy. Chapter 7 and chapter 13 bankruptcy. A chapter 13 bankruptcy is a form of repayment plan.